Today Rs 750 Prize Bond Draw Result 2026 at Quetta has been released on 15th April 2026. Check online your Prize Bond Draw result 2026 list Downloads pdf. State Bank of Pakistan SBP has announced today Quetta Rs 750 prize Bond lucky draw result 2026. We congratulate to all prize bond draw winners citizens.
The State Bank of Pakistan has officially released the results for the Rs. 750 Prize Bond (Draw No. 105). Held in Quetta on Wednesday, April 15, 2026, this draw is part of the ongoing National Savings scheme designed to reward bondholders across the country.
Rs 750 Prize Bond Draw Result 2026 pdf Download Today
The official results for the Rs. 750 Prize Bond Draw No. 105, held in Peshawar, are now available. Winners can download the complete 2026 PDF list today to verify 1st, 2nd, and 3rd prize numbers and claim their rewards immediately.
Today Rs 750 Prize Bond Draw Result 2026 15th April 2026
The official result for the Rs. 750 Prize Bond Draw No. 106, held in Quetta on April 15, 2026, has been announced. The first prize of Rs. 1.5 million was awarded to bond number 953346. Download the full PDF list today.
FGEI EST Jobs 2026 induction.fgei.gov.pk Online Apply
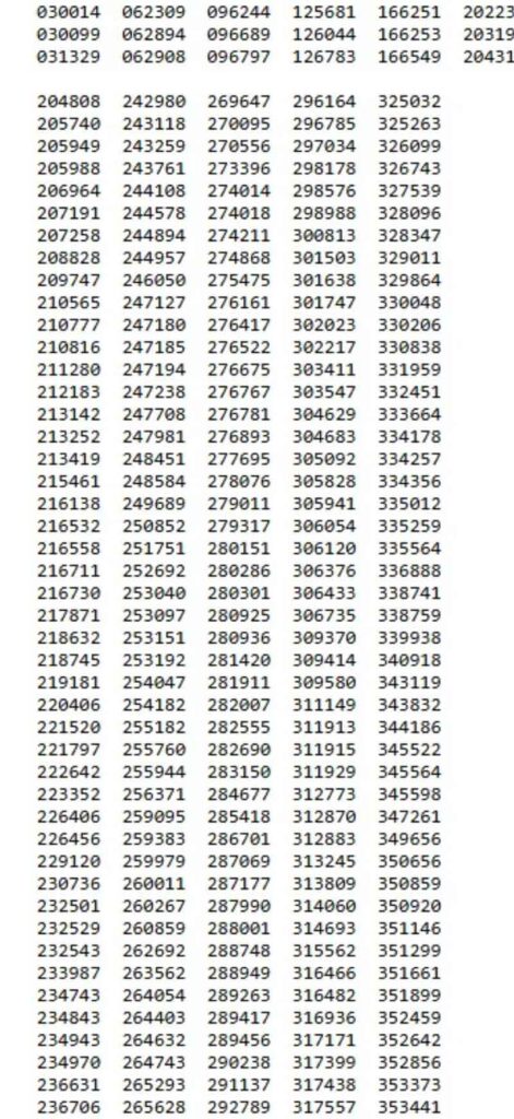
750 Prize Bond List 2026 Online Check
The Rs. 750 Prize Bond Draw No. 106 was held today, April 15, 2026, in Quetta. You can check the complete 2026 winning list online or download the official PDF to verify your numbers and see if you’ve won.

How to Check Prize Bond Rs 750 Draw Result 2026?
-
Official Search: Visit the National Savings or State Bank of Pakistan (SBP) websites and enter your 6-digit bond number for instant verification.
-
Mobile Apps: Use apps like “Prize Bond Wallet” to scan your bonds or get automated notifications for new draws.
-
PDF Gazette: Download the full official result list (PDF) and use the “Find” feature to look up your number manually.
-
Physical Centers: Visit any National Savings Center or SBP field office to check the official printed gazette.
Quetta Rs 750 Prize Bond Draw Result 2026
Stay updated on Rs. 750 Prize Bond results and the 2026 draw schedule online. You can easily check winning numbers, download official PDF gazettes, and view prize amounts via the SBP website to ensure you never miss a balloting date.